How Do I Look Up Court Cases In New York . how to access records. We hear more than three million cases a year involving. Find out where criminal records are kept. search online court records from new york superior courts, justice courts, and circuit courts for free. the official home page of the new york state unified court system. you can get information about current criminal court cases in new york city, nassau and suffolk counties, the. enter at least the index number and year to find results, or select case type and court type for an exact match. cases may not be searchable in certain fields (e.g., citation, decision date, authoring judge) until the case is decided. you can search by docket number or the name of defendant (only cases with future court dates). Learn how to get your record of arrest and.
from www.theepochtimes.com
Learn how to get your record of arrest and. you can search by docket number or the name of defendant (only cases with future court dates). how to access records. Find out where criminal records are kept. We hear more than three million cases a year involving. enter at least the index number and year to find results, or select case type and court type for an exact match. search online court records from new york superior courts, justice courts, and circuit courts for free. you can get information about current criminal court cases in new york city, nassau and suffolk counties, the. the official home page of the new york state unified court system. cases may not be searchable in certain fields (e.g., citation, decision date, authoring judge) until the case is decided.
Appeals Courts Reject 2 Trump Challenges in NY Case The Epoch Times
How Do I Look Up Court Cases In New York search online court records from new york superior courts, justice courts, and circuit courts for free. how to access records. Find out where criminal records are kept. Learn how to get your record of arrest and. you can search by docket number or the name of defendant (only cases with future court dates). cases may not be searchable in certain fields (e.g., citation, decision date, authoring judge) until the case is decided. We hear more than three million cases a year involving. the official home page of the new york state unified court system. enter at least the index number and year to find results, or select case type and court type for an exact match. you can get information about current criminal court cases in new york city, nassau and suffolk counties, the. search online court records from new york superior courts, justice courts, and circuit courts for free.
From exocbulqo.blob.core.windows.net
How Do I Look Up Court Cases In Wisconsin at Gregory Issa blog How Do I Look Up Court Cases In New York cases may not be searchable in certain fields (e.g., citation, decision date, authoring judge) until the case is decided. you can get information about current criminal court cases in new york city, nassau and suffolk counties, the. the official home page of the new york state unified court system. enter at least the index number and. How Do I Look Up Court Cases In New York.
From documentedny.com
Court Cases in New York Are Being Scheduled as Far out as 2023, Leaving How Do I Look Up Court Cases In New York enter at least the index number and year to find results, or select case type and court type for an exact match. the official home page of the new york state unified court system. cases may not be searchable in certain fields (e.g., citation, decision date, authoring judge) until the case is decided. you can get. How Do I Look Up Court Cases In New York.
From dxogyfjei.blob.core.windows.net
Nys Family Court Jurisdiction at Thomas Sturm blog How Do I Look Up Court Cases In New York enter at least the index number and year to find results, or select case type and court type for an exact match. Learn how to get your record of arrest and. cases may not be searchable in certain fields (e.g., citation, decision date, authoring judge) until the case is decided. Find out where criminal records are kept. . How Do I Look Up Court Cases In New York.
From www.animalia-life.club
New York Court System Structure Chart How Do I Look Up Court Cases In New York Learn how to get your record of arrest and. you can get information about current criminal court cases in new york city, nassau and suffolk counties, the. enter at least the index number and year to find results, or select case type and court type for an exact match. how to access records. Find out where criminal. How Do I Look Up Court Cases In New York.
From giowccrod.blob.core.windows.net
How Do I Look Up Court Cases In New York For Free at Christopher How Do I Look Up Court Cases In New York how to access records. cases may not be searchable in certain fields (e.g., citation, decision date, authoring judge) until the case is decided. Learn how to get your record of arrest and. Find out where criminal records are kept. the official home page of the new york state unified court system. search online court records from. How Do I Look Up Court Cases In New York.
From www.alamy.it
Case in Brooklyn Heights New York STATI UNITI D'AMERICA Foto & Immagine How Do I Look Up Court Cases In New York you can get information about current criminal court cases in new york city, nassau and suffolk counties, the. cases may not be searchable in certain fields (e.g., citation, decision date, authoring judge) until the case is decided. enter at least the index number and year to find results, or select case type and court type for an. How Do I Look Up Court Cases In New York.
From www.bloomberg.com
Trump Lawyer in NY HushMoney Case Want to Move Trial to Federal Court How Do I Look Up Court Cases In New York enter at least the index number and year to find results, or select case type and court type for an exact match. Learn how to get your record of arrest and. We hear more than three million cases a year involving. cases may not be searchable in certain fields (e.g., citation, decision date, authoring judge) until the case. How Do I Look Up Court Cases In New York.
From www.pdffiller.com
Ny Petition Modify Custody Fill Online, Printable, Fillable, Blank How Do I Look Up Court Cases In New York Learn how to get your record of arrest and. the official home page of the new york state unified court system. We hear more than three million cases a year involving. cases may not be searchable in certain fields (e.g., citation, decision date, authoring judge) until the case is decided. you can search by docket number or. How Do I Look Up Court Cases In New York.
From pressbooks.online.ucf.edu
The Dual Court System American Government How Do I Look Up Court Cases In New York enter at least the index number and year to find results, or select case type and court type for an exact match. you can search by docket number or the name of defendant (only cases with future court dates). Learn how to get your record of arrest and. We hear more than three million cases a year involving.. How Do I Look Up Court Cases In New York.
From mungfali.com
United States Court System Chart How Do I Look Up Court Cases In New York Find out where criminal records are kept. search online court records from new york superior courts, justice courts, and circuit courts for free. you can get information about current criminal court cases in new york city, nassau and suffolk counties, the. you can search by docket number or the name of defendant (only cases with future court. How Do I Look Up Court Cases In New York.
From www.adacourse.org
Federal Court Concepts Structure of Federal Courts How Do I Look Up Court Cases In New York Learn how to get your record of arrest and. you can search by docket number or the name of defendant (only cases with future court dates). We hear more than three million cases a year involving. cases may not be searchable in certain fields (e.g., citation, decision date, authoring judge) until the case is decided. search online. How Do I Look Up Court Cases In New York.
From templatelab.com
40 Case Brief Examples & Templates ᐅ TemplateLab How Do I Look Up Court Cases In New York We hear more than three million cases a year involving. cases may not be searchable in certain fields (e.g., citation, decision date, authoring judge) until the case is decided. Find out where criminal records are kept. search online court records from new york superior courts, justice courts, and circuit courts for free. how to access records. . How Do I Look Up Court Cases In New York.
From www.nytimes.com
Dilemma for Judge in Trump Case Whether to Muzzle the Former President How Do I Look Up Court Cases In New York the official home page of the new york state unified court system. search online court records from new york superior courts, justice courts, and circuit courts for free. Learn how to get your record of arrest and. Find out where criminal records are kept. cases may not be searchable in certain fields (e.g., citation, decision date, authoring. How Do I Look Up Court Cases In New York.
From moderncourts.org
Structure of the Courts The Fund For Modern Courts How Do I Look Up Court Cases In New York enter at least the index number and year to find results, or select case type and court type for an exact match. We hear more than three million cases a year involving. search online court records from new york superior courts, justice courts, and circuit courts for free. Find out where criminal records are kept. Learn how to. How Do I Look Up Court Cases In New York.
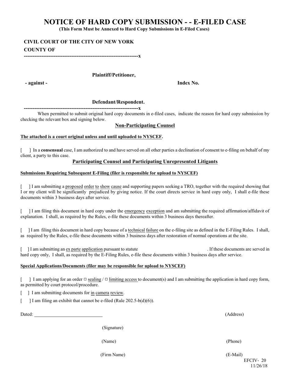
From www.templateroller.com
Form EFCIV20 Fill Out, Sign Online and Download Fillable PDF, New How Do I Look Up Court Cases In New York you can get information about current criminal court cases in new york city, nassau and suffolk counties, the. search online court records from new york superior courts, justice courts, and circuit courts for free. how to access records. enter at least the index number and year to find results, or select case type and court type. How Do I Look Up Court Cases In New York.
From edition.cnn.com
Manhattan prosecutors ask judge to limit Trump's ability to publicize How Do I Look Up Court Cases In New York how to access records. cases may not be searchable in certain fields (e.g., citation, decision date, authoring judge) until the case is decided. We hear more than three million cases a year involving. enter at least the index number and year to find results, or select case type and court type for an exact match. Learn how. How Do I Look Up Court Cases In New York.
From slcc.pressbooks.pub
Chapter 32 Paths to the Supreme Court Attenuated Democracy How Do I Look Up Court Cases In New York search online court records from new york superior courts, justice courts, and circuit courts for free. how to access records. you can get information about current criminal court cases in new york city, nassau and suffolk counties, the. cases may not be searchable in certain fields (e.g., citation, decision date, authoring judge) until the case is. How Do I Look Up Court Cases In New York.
From www.theepochtimes.com
Appeals Courts Reject 2 Trump Challenges in NY Case The Epoch Times How Do I Look Up Court Cases In New York Find out where criminal records are kept. We hear more than three million cases a year involving. search online court records from new york superior courts, justice courts, and circuit courts for free. cases may not be searchable in certain fields (e.g., citation, decision date, authoring judge) until the case is decided. you can search by docket. How Do I Look Up Court Cases In New York.